トップ 差分 一覧 ソース 検索 ヘルプ ログイン

New Polymerization Method

 Synthesis of Organoarsenic Polymers

Novel organoarsenic polymers, poly(vinylene-arsine)s, were synthesized by a free-radical alternating copolymerization of acetylenes with cyclooligoarsines as an atomic biradical equivalent. This is the first example of the well-defined organoarsenic polymer having an As atom alternatively.

Fig. 1

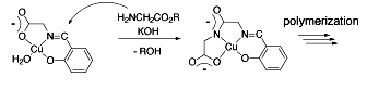
 Controlled Polymerization of Amino-Acid Esters by Copper (II) Chelate

We are investigating a novel method of polymerization, via the insertion of activated amino-acid esters into copper (II) chelate. In the presence of catalytic amount of copper (II) chelate, well-controlled condensation product of amino-acid was obtained.

Fig. 2